공무원 봉급표는 직급과 호봉에 따라 급여가 결정되며, 이는 정부가 매년 인상률과 기준을 반영해 발표합니다. 직급별로 봉급이 얼마나 되는지 살펴볼게요. 2024년 대비 2025년 봉급은 얼마나 올랐을까요? 비교해서 살펴보겠습니다.
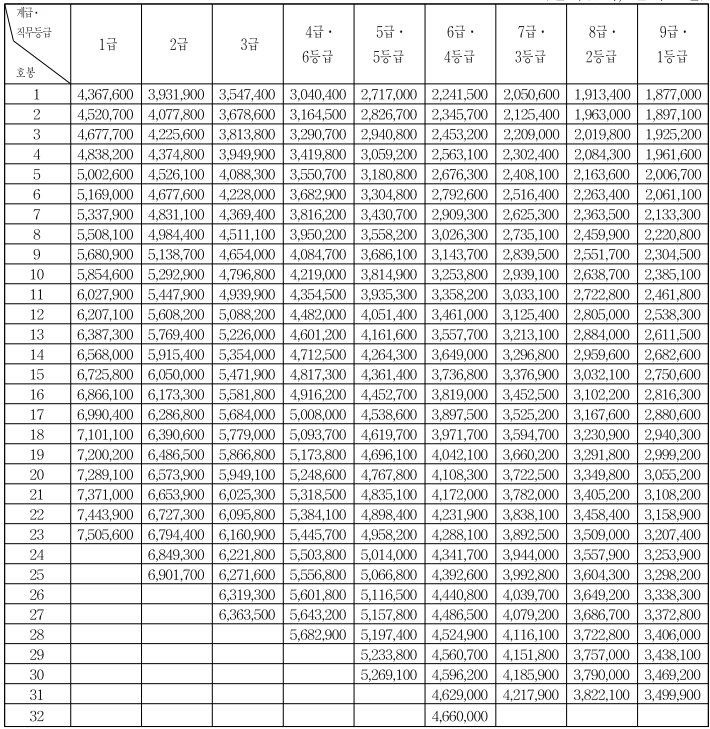
1. 2024년 일반직 공무원 봉급표

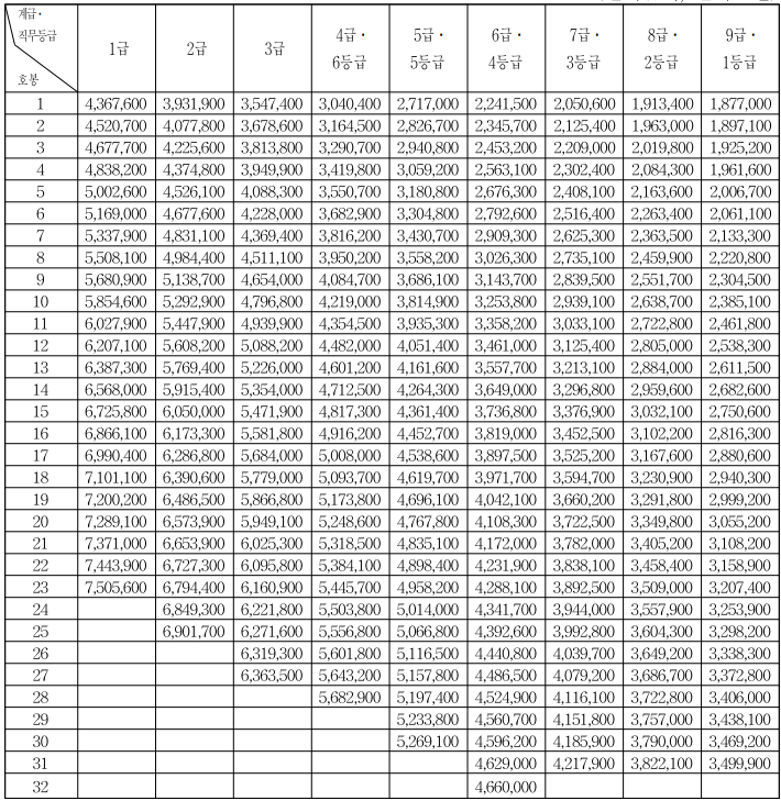
2. 2025년 일반직 공무원 봉급표
2025년에는 공무원 보수가 3% 인상됩니다. 지난 2017년 이후 최대 인상률인데요. 구체적인 직급별 인상률은 아직 결정되지 않았으며, 인사혁신처가 연말쯤 공무원 봉급표를 확정 짓게 됩니다.
9급 1호봉으로 보면 1,877,000원에서 1,933,300원으로 인상될 예정입니다. 약 56,300원 인상되네요.
인사혁신처의 공무원봉급표는 아래 링크를 통해 바로 보실 수 있습니다.
3. 실수령액
위 봉급은 실수령액과는 차이가 많습니다. 수당도 있지만 공제액이 생각보다 많거든요.
실수령액은 기본 봉급 외에 각종 수당(직급보조비, 가족수당, 초과근무수당, 정액급식비 등)이 포함된 금액에서 세금과 기여금 등 각종 공제액을 제외한 금액입니다.
9급 공무원의 경우, 1호봉 실수령액은 약 180만 원대로 추정됩니다.
마무리하며
공무원 봉급표는 직급별, 호봉별로 인사혁신처에서 확정하여 게시하는데요. 이는 공무원 처우 개선과 국가 재정 상황을 반영한 결과입니다. 기본 봉급 외에도 다양한 수당이 포함되어 실제 수령액은 차이가 날 수 있으니 개인별 정확한 계산이 필요합니다.
공무원을 준비하는 분들에게는 이러한 정보가 중요한 참고 자료가 될 것입니다. 매년 발표되는 봉급표를 확인하며 변화하는 추이를 파악하고, 공무원으로서의 삶을 구체적으로 계획하시길 바랍니다.